牛客NC3 链表中环的入口结点
牛客NC3 链表中环的入口结点
题目如下:
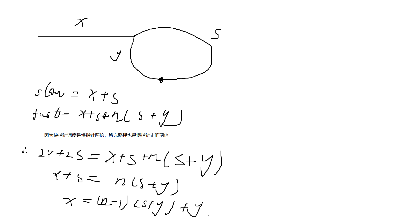
主要思想就是首先利用快慢指针判断是否有环,如果有环,再根据下面的思想让快指针重头开始走,慢指针继续走,走到相遇就是环入口结点的地方:
代码如下:
public class Solution {
public ListNode EntryNodeOfLoop(ListNode pHead) {
ListNode ft = pHead;
ListNode fast = pHead;
ListNode slow = pHead;
while(fast != null && fast.next != null){
fast = fast.next.next;
slow = slow.next;
if(fast == slow){
while(slow != ft){
slow = slow.next;
ft = ft.next;
}
return ft;
}
}
return null;
}
}
本博客所有文章除特别声明外,均采用 CC BY-NC-SA 4.0 许可协议。转载请注明来自 fzzf!
评论
ValineDisqus






